Six-Time Financial Felon Sharon Jean Logan was criminally prosecuted for a false rape accusation against her ex-husband, according to documents in her divorce/custody battle court file (below).

Logan was charged with making a false police report. We don’t know if Logan was convicted. She was prosecuted in 1998 in Riverside County’s old municipal court, which was combined with the superior court after 1998. Those old municipal cases aren’t available online. The minute order in the divorce court file showed an upcoming jury trial.


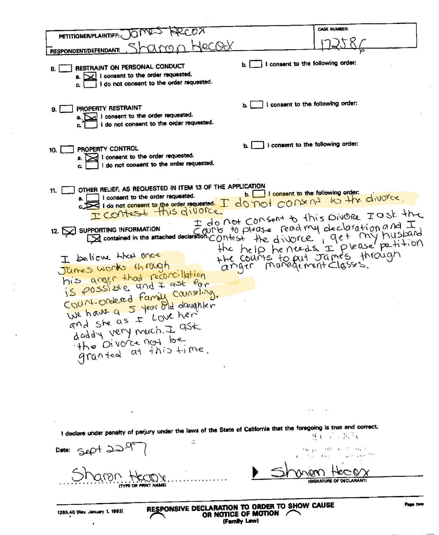
One month before she made the false rape report, Logan begged the court to deny James Hecox the divorce, while blaming all the marriage’s problems on him and asking the court to order him into anger management. (See below.)

Soon afterward, she’d spend time in prison for multiple embezzlements and thefts, for which we’ve previously posted records.
Logan keeps astonishing us. She’s made other false allegations in the years since, including domestic violence, as detailed in previous posts and on our blog. She falsely accused another ex of it, Alex R, and the court granted him a restraining order against her until 2021. But falsely alleging rape? That’s about as low as a woman can go, in our opinion. What an insult to women who’ve actually had that happen to them.
It seems there’s nothing Logan won’t stoop to to gain the upper hand in a conflict. The file also has information about three false domestic violence charges Logan made against her ex (they were dismissed); a sexual harassment suit Logan filed against her ex-husband’s boss, and a sexual abuse claim she made on behalf of her child against her ex-husband’s church, which had kicked her out of the congregation. We’ll try to find out what happened with those claims.
The pastor of the congregation was granted a civil harassment restraining order against Logan:
We received portions of the lengthy divorce court file out of archives today. We removed people’s SSN’s and redacted their poor kid’s name from these documents (the “kid” is 30 now, and appears to be doing well as far as we can tell).
https://fivetimefinancialfelon.com/wp-content/uploads/2022/12/hecox-logan-redacted-divorce-court-documents-incl-slj-charge-for-filing-false-rape-report.pdf
We wouldn’t normally have bothered with something this old. But after Logan posted that San Diego doctor’s divorce documents and made fun of her, we figured we were obligated. (For those new to this Page: Logan’s got a long history of publicizing and ridiculing the comparatively minor legal troubles of anyone who crosses her.)
Yet again, we’re reminded of that late Mission Viejo attorney, Brady Price, who claimed she stole thousands from him, but didn’t prosecute. We wonder what she threatened him with.


Leave a comment