It probably won’t surprise many of you that Sharon Logan’s myriad deceptions extend to government documents, including her corporation forms for her nonprofit, Paw Protectors, Inc.
Our best guess is that the 6Time Financial Felon lied mainly to dodge her creditors, to whom she owed many hundreds of thousands in civil judgments and criminal restitution at the time she filed the public, corporate documents in 2019 and 2021. She didn’t want them finding her real address. (She dumped the civil debts in her 2022 bankruptcy, but still owes the $500,000-plus, counting interest, in criminal victim restitution.)
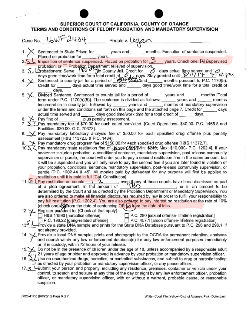
Sharon Logan’s bankruptcy went through — but she still owes half a million in criminal restitution for her thefts and embezzlements.
But, it’s also more evidence of Logan’s longstanding compulsion to falsely present herself as an upscale, beach community resident, rather than the inland renter she is. (We think there’s nothing wrong with being an inland renter, but Logan is one of those wannabe high rollers who ridicules other renters and working non-felons with tight finances.)



And, there is the fact that 6Time was on felony, supervised probation in Orange County until July, 2020. She was convicted of two felony grand thefts in 2017 for stealing from her employer. Shortly after she finished her jail sentence in early 2018, she moved into the unsuspecting Ms. G’s San Bernardino County house in Rancho Cucamonga. Logan’s probation required her to get the OC probation officer’s approval of where she lived, and her out-of-county address may have posed a problem.



(If you were thinking 6Time lied to avoid us, well, we didn’t start writing about her until mid-July, 2022. In early August, we posted about how a creditor was unsuccessfully trying to find her. Shortly afterward, Logan filed bankruptcy.)
Logan lied about the addresses of herself and her Chief Financial Officer, Vanessa Beld (aka Annie V. Beld). She lied about Beld’s address, and probably her own, on her biannual corporation forms filed with the Secretary of State. She also lied about her previous addresses, under penalty of perjury, in the bankruptcy petition she filed in August, 2022.
First, the 6Time Financial Felon certified falsely in April, 2019 that the CFO, Vanessa Beld, lived at Logan’s Rancho Cucamonga address — where Beld had never even been.


How do we know this? We asked the owner of the house. She told us she’d never heard of Beld. The Rancho Cucamonga homeowner, “Ms. G,” had previously granted us an interview regarding her bad experience renting half a bedroom to Logan in 2018-2019, shortly after Logan was released from jail on or around March, 2018, for two felonies for stealing from an employer.
Sharon Logan’s sex work was the least of her bad behavior, says 2018-2019 landlord/roommate.


That’s right: Logan herself lived at that Rancho Cucamonga address in April, 2019, when she filed that corporate paperwork for Paw Protectors. (At the time, remember, she was on felony probation in Orange County, and required to keep her address current with her probation officer.)
Yet, Logan never mentioned her real address in connection with her name on the public corporate paperwork. If creditors knew that address, it would have helped them track her down to garnish her wages. (And, she may have been violating her probation.)

Rather, Logan claimed to live at a Newport Beach address on Salerno which is in OC. She certified that statement in April, 2019, and March, 2021. But that contradicts Logan’s sworn statement on her 2022 bankruptcy petition that she went straight from the Rancho Cucamonga house in July, 2020 (which is also false, she stormed out in November, 2019) to a rental in Fountain Valley.
We bet she picked the fake date of July, 2020, because that’s when her probation ended. That would excuse her not telling the probation officer about her Fountain Valley residence.


Note that the August, 2022 bankruptcy form says nothing about that Newport address, even though it asks for all the places Logan lived for the past three years.
We looked up the deed to the Salerno address in Newport. It’s an apartment building, owned by a corporation.
Logan has used that Newport address on other government documents, such as her false vehicle registration in 2019, for which she was convicted. (Committing a crime is a probation violation, which is probably why Logan opted to avoid court and had a warrant for her arrest for several months.)

Sharon Logan had a warrant out for her arrest from 11-22-2019 to 10-01-2020.
As for Paw Protectors CFO Vanessa Beld, aka Annie V. Beld, her address is listed on the 2021 corporate documents as a Chino apartment on Preserve Loop Drive. We can’t find anything else linking Beld to that address.

However, it’s listed as Logan’s address on the 2020 liens for the criminal restitution for her two felony grand theft convictions in 2017. (Those were Logan’s fifth and sixth financial felonies, and her eight and ninth convictions for financial crimes overall.)

Where did the Orange County prosecutor’s office get that Chino address for Logan? As we noted before, Logan was on supervised probation until July, 2020 (three years after her plea was entered), and had to keep a probation officer informed of her current address. As another condition of probation, 90 days before it ended, she had to file her current address with the court so hrr victims could locate her for restitution payments. (Unfortunately, she’s still not paying.)
So, we expect the OC DA got that Chino address from Logan herself.
Grifty Logan “dumb as a rock,” says former employer she stole from.
Contrast that with Logan’s August 2022 bankruptcy petition, signed under penalty of perjury, which does not list that Chino address as among her residences for the prior three years, which would have included July, 2020. It doesn’t list the Newport Beach address. It only lists Ms. G’s Rancho Cucamonga address, and the Fountain Valley address.
As for treasurer/CFO Vanessa Beld/Annie V. Beld, we’re not saying she did anything wrong. For all we know, Logan didn’t even tell Beld what she was doing. Or, it’s possible Beld didn’t have a stable address, or didn’t want her own real address made public, and Logan just told her she’d take care of it. Beld has been listed as the treasurer or CFO of Paw Protectors since its formation in 2011, when she gave a Phoenix, AZ address.



Is Logan’s deception about Beld’s address on the corporate documents a crime? Probably not. The corporations code asks for a business or residential address of the officers. If Logan listed her own address as Beld’s, with the intent to receive Beld’s corporate mail there and give it to her, that’s probably OK. (That’s not how we do things, but our standards are higher than Logan’s.)
Now, what about Logan’s deceptions about her own address? Are they a crime? Arguably, some of them are.
Will those falsehoods get Logan incarcerated for a fifth time? We think it’s highly unlikely, unless maybe she runs for Congress in a swing district. Law enforcement has bigger matters to worry about than some rinky-dink nonprofit fudging on its officers’ addresses, or finding out after the fact that some felon on probation lied to her probation officer, or that same felon lying about where she previously lived in her bankruptcy petition.
As for the Newport Beach address on the corporation documents: The law requires the officers to provide either an office address, or a residential address. We suppose it’s possible that Logan had a friend living in that apartment on Salerno in Newport, who told Logan she could use the address for an office address. (Not likely, but possible.)
As for the lie on the bankruptcy petition about the dates of Logan’s Rancho Cucamonga residency, and her possible omission of her Newport Beach and Chino addresses (unless she was lying in the other documents, which we think is more likely, as she probably didn’t think she had to worry about creditors after filing bankruptcy): Well, yes, that’s perjury, a violation of California Penal Code section 118.

Alternatively, it’s a violation of California Penal Code section 115, regarding filing false government documents.

But as we said earlier, good luck getting anyone in charge to care.
It’s just another reminder that as an activist and a human being, Logan is all flash, no substance. All hat, no cattle.
And, as we learned from her no-pets bankruptcy declaration:
All bull, no pit.



Leave a comment